Lösungen zu den Aufgaben im Buch
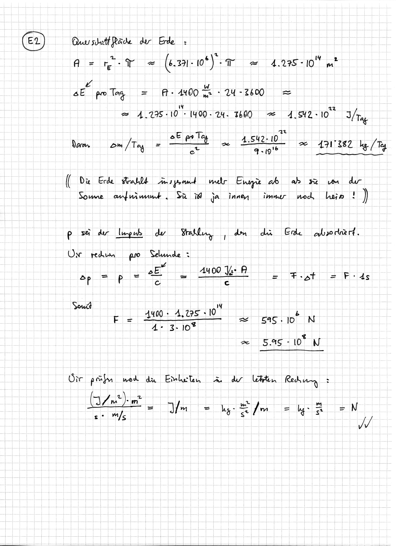
Hier können Sie meine handschriftlichen (!!) Lösungen zu den Aufgaben im Buch anschauen oder herunterladen.
Die kleinen .gif - Dateien zeigen sich in einem neuen Fenster, während die .pdf - Dateien mit allen Lösungen zu einem Kapitel schon 1 bis 2 MB beanspruchen und je nach Ihren Browser-Einstellungen als Datei heruntergeladen und gespeichert oder aber von einem pdf - Viewer angezeigt werden.
| B | C | D | E | F | G | H | I | K | |
| 1 | .gif | .gif | .gif | .gif | .gif | .gif | .gif | .gif | |
| 2 | .gif | .gif | .gif | .gif | .gif | .gif | .gif | .gif | .xls |
| 3 | .gif | .gif | .gif | .gif | .gif | .gif | .gif | ||
| 4 | .gif | .gif | .gif | .gif | .gif | .gif | .gif | .gif | |
| 5 | .gif | .gif | .gif | .gif | .gif | .gif | .gif | .gif | |
| 6 | .gif | .gif | .gif | .gif | .gif | .gif | .gif | ||
| 7 | .gif | .gif | .gif | .gif | .gif | .gif | .gif | ||
| 8 | .gif | .gif | .gif | .gif | .gif | .gif | .gif | .gif | |
| 9 | .gif | .gif | .gif | .gif | .gif | .gif | |||
| 10 | .gif | .gif | .gif | .gif | .gif | ||||
| 11 | .gif | .gif | .gif | .gif | |||||
| 12 | .gif | .gif | |||||||
| 13 | .gif | .gif | .gif | ||||||
| 14 | .gif | .gif | |||||||
| alle |
