T9 Der zweite Hauptsatz der Wärmelehre
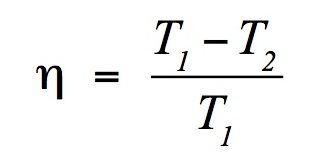
Der zweite Hauptsatz in der Formulierung über den maximalen Wirkungsgrad einer Wärme-Kraft-Maschine bleibt unangetastet. Der Ausdruck
![]()
ist ja, egal mit welchem Faktor sich die Temperaturen transformieren, invariant. Die obere Schranke für den Wirkungsgrad einer Wärme-Kraft-Maschine ändert sich also für einen schnellen Beobachter nicht. Auch für ihn ist es unmöglich, ein 'perpetuum mobile zweiter Art' zu bauen ...

