T6 Das ideale Gas
Schon mit einem primitiven Flüssigkeitsthermometer lässt sich sehr genau prüfen, ob das, was man Temperatur nennen will, konstant ist oder nicht. Es zeigt sich, dass für beliebige Gase oder Gasgemische mit grosser Genauigkeit gilt
P1 · V1 j= P2 · V2 mmmmfalls T j= jkonstant
Dann stellt man fest, dass erstaunlicherweise alle Gase und Gasgemische denselben Volumen-Ausdehnungskoëffizienten haben! Eine Extrapolation führt auf den Absoluten Nullpunkt bei -273.15° C , und mithilfe einer schlauen Translation der Temperaturskala erhält man den einfachen Zusammenhang
V1 / T1 j= V2 / T2 mmmmfalls P j= jkonstant
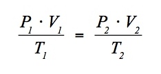
Setzt man diese beiden Einsichten zusammen, so erhält man für zwei beliebige Gleichgewichtszustände derselben Gasmenge die Gleichung (*)

Clausius und Boltzmann haben mit dem Modell des idealen Gases gezeigt, dass diese Gleichung exakt gelten muss, wenn die Gasteilchen viel kleiner sind als ihre mittlere Weglänge zwischen zwei Zusammenstössen und wenn die Teilchen als Kügelchen aufgefasst werden können, die vollkommen elastisch zusammenstossen, sonst aber keine Kräfte aufeinander ausüben. Ganz wichtig ist für uns, dass diese Gleichung auch aus der Sicht eines schnellen Beobachters der beiden Gleichgewichtszustände des Gases gilt !
Im Abschnitt 3 haben wir schon darauf hingewiesen, dass auch der schnelle Beobachter zwei Gleichgewichtszustände des Gases sieht. Seine Werte P1' jund P2' junterscheiden sich dabei von den Werten P1 jund P2 jum denselben Faktor fPj(v2) , dieser Faktor lässt sich der Gasgleichung (*) problemlos auf beiden Seiten hinzufügen. Entsprechendes gilt für die Volumina und die Temperaturen. Die Gleichung (*) gilt also auch, wenn man alle Werte durch ihre gestrichenen Partner ersetzt. Wir brauchen dabei nichts zu wissen über die konkrete Form der Transformationen, es genügt für diese Feststellung die Annahme in 2 , dass es überhaupt solche Transformationen gibt.
Auf einem viel komplizierteren Weg gelangt auch Pauli [3, p.700, Formel 385] zum Ergebnis, dass die allgemeine Gasgleichung invariant ist.
