T12 Die Entropie des Volumens
Ein Gasteilchen soll sich irgendwo im Volumen V1 jaufhalten. Öffnen wir einen Schieber, so dass sich das Volumen verdoppelt, in welchem sich das Teilchen aufhalten kann, so verdoppelt sich nach den Ideen des letzten Abschnittes die Anzahl der Mikrozustände, welche dem Teilchen zur Verfügung stehen - dies ganz unabhängig davon, welches elementare Raumwürfelchen Vo jwir einem Mikrozustand zuordnen. Die Entropie nimmt zu, und es gilt

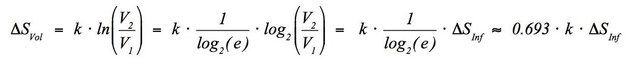
Nun benutzt man in der Physik den logarithmus naturalis, um die Entropie zu messen. Dieser unterscheidet sich aber nur um einen konstanten Faktor vom Zweierlogarithmus. Viel wichtiger ist, dass der Logarithmus noch mit der Boltzmann-Konstanten k jmultipliziert wird. Zu unserer Änderung des Volumens für 1 Teilchen gehört in der Physik das Mass

Durch die Multiplikation mit k jerhält die Entropie sozusagen künstlich auch die Masseinheiten von kj, also J/K . Rein inhaltlich ändert sich mit dieser neuen Skalierung vorerst gar nichts. Diese Entropie ist aber nur noch dann invariant, wenn es k jauch ist !
Hat man nicht nur 1 Teilchen, sondern N jStück, welche sich unabhängig voneinander irgendwo im zur Verfügung stehenden Volumen aufhalten können, so hat man bei der Volumenänderung von V1 jzu V2 jeine entsprechende Änderung der Volumenentropie von

Mit welchem Faktor auch immer sich das Volumen für einen bewegten Beobachter transformiert, die Volumenentropie muss sich gleich transformieren wie die Boltzmann-Konstante k !
Ganz entsprechende Ergebnisse würden wir bei der Betrachtung der Konzentrationsentropie SK , der Mischungsentropie SM , der Freien Entropie SF und der Spin-Entropie SS erhalten.
All diese Entropieänderungen entsprechen dem Produkt von k jund dem Logarithmus einer Verhältniszahl von Mikrozuständen, und die Zahlen dieser Mikrozustände ändern sich nicht bei einer Relativbewegung des Beobachters. Sie werden selber als Verhältniszahl zweier 'Volumina' berechnet (es kann sich dabei auch um Volumina in einem Phasenraum handeln). Bei diesem Verhältnis ist es irrelevant, wie sich Zähler und Nenner transformieren, sie transformieren sich ja auf jeden Fall gleich!
Die Berechnung der Gesamtentropie einer bestimmten Menge eines idealen Gases ist aber keineswegs trivial, da die verschiedenen Mikrozustände beispielsweise der kinetischen Energie eines Gasteilchens mit ganz verschiedenen Wahrscheinlichkeiten angenommen werden. Es genügt also nicht, die Zahl der Mikrozustände abzuzählen, da diese nicht gleichverteilt sind. Die entsprechenden Rechnungen sind in der Fachliteratur nachzulesen. Für Gymnasien kann das Buch "Entropie und Information - naturwissenschaftliche Schlüsselbegriffe" von Wolfgang Salm (Aulis Verlag 20022) empfohlen werden. Die Abschnitte 11 und 12 dieser Arbeit stützen sich wesentlich auf diese Publikation ab.
