M8 Es geht noch etwas schöner !
(Ein Nachtrag vom 5. Juli 2007)
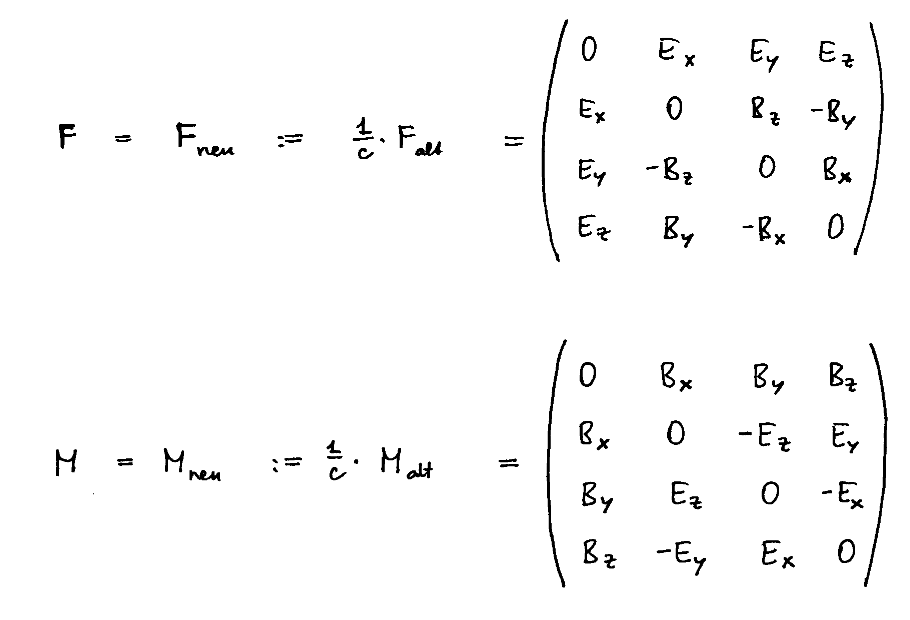
Die Ästhetik der Darstellung lässt sich noch ein bisschen steigern, wenn man die elektrische Feldstärke neu skaliert. Alles wird dann einfacher, symmetrischer, schöner ...
- Wir definieren E = Eneu := Ealt / c . Damit sind die Grössen E und B dual, und nicht mehr E und c·B .
E und B haben dann auch dieselben Einheiten, nämlich 'Tesla'. - Wir dividieren auch die beiden Matrizen F und M durch c und erhalten mit der neuen Definition von E die Darstellungen
Der Faktor c wird nicht mehr benötigt. - c verschwindet auch aus dem Kraftgesetz von Lorentz:

- Die Schreibweise der Maxwell-Gleichungen wird ebenfalls leicht vereinfacht:

- Bei den Determinanten von F und M verschwindet der Faktor c2 : Neu gilt det(F) = det(M) = – (E·B)2
- Besonders schön wird das Produkt der beiden Matrizen: Neu ist F·M = (E·B) · Id
- Die andere Invariante vereinfacht sich zu E2 – B2 , und wir haben det (F + M) = det (F – M) = – (E2 – B2)2
- Viel symmetrischer wird der Satz von Gleichungen, welcher die Transformation der einzelnen Komponenten von E und B bei einem Lorentz-Boost beschreibt:
Vorher hatten wir links v statt beta und rechts v/c2 statt beta ! So tritt die 'Dualität' der beiden Felder viel schöner hervor. - All diese Vereinfachungen ergeben sich natürlich von selber, wenn man die Einheiten für Längen und Zeiten so wählt, dass c den einheitenlosen Wert 1 erhält. Noch radikaler ist der Vorschlag von C.F. Gauss: Man definiere die elektromagnetischen Einheiten so, dass die Feldkonstanten fürs Vakuum beide 1 sind. Daraus ergibt sich für c ebenfalls der einheitenlose Wert 1, und in der Darstellung der Maxwellgleichung verschwindet auch noch µ0 (Punkt 4).
- Die neue Festlegung von E in Punkt 1 ist also nur der harmloseste Eingriff, mit dem man die gewünschte Wirkung erzielen kann.
