I4 Das Experiment von Rebka und Pound
Wir haben schon auf p.108 in G4 gehört, dass Schwarzschild ab 1913 versucht hat, eine ‘Rotverschiebung’ von Absorptionslinien im Spektrum der Sonne nachzuweisen. Einstein hat gehofft, hier eine erste experimentelle Bestätigung seiner Theorie zu erhalten. Dabei hätte der Nachweis eigentlich gar nicht speziell die ART bestätigt, sondern nur den Energieerhaltungssatz:

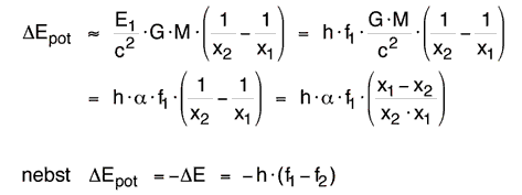
Fliegt ein Photon von x1 nach x2, so nimmt seine potentielle Energie zu und es muss deshalb ein bisschen von seiner inneren Energie E1 = h·f1 abgeben (mit h wird die Planck’sche Konstante bezeichnet). Am Ort x2 hat es die kleinere Energie E2 = h·f2 , die Frequenz der Strahlung ist also etwas kleiner und die Wellenlänge entsprechend der Formel c = f·λ etwas grösser geworden. Die Wellenlänge verschiebt sich damit in Richtung des roten, langwelligen Endes des optischen Spektrums, woher der Name ‘Rotverschiebung’ kommt. Für einen kleinen Aufstieg des Photons von x1 nach x2 gilt

Setzen wir das zusammen, so erhalten wir

Für ganz kleine Hübe an der Erdoberfläche lässt sich das weiter vereinfachen: Dann ist x1·x2 = rE2 , für x1 – x2 schreiben wir ∆x und G·M / rE2 ist einfach die Fallbeschleunigung g an der Erdoberfläche. Damit erhalten wir die Formel

Das Bild zeigt Glen Rebka am unteren Ende des Jefferson Towers der Harvard Universität
