H4 Das Prinzip der maximalen Eigenzeit
Auf welchem Weg sich auch eine Uhr von O nach P durch die Raumzeit bewegt - die Zeit, die dabei auf der Uhr verstreicht, ist immer OQ. Der rote und der blaue Weg unterscheiden sich aber dadurch, dass für Schwarz, also einen in einem Inertialsystem ruhenden Beobachter unterschiedlich viel Zeit verstreicht, während die Uhr ihren Weg von O nach P macht. Für den blauen Weg finden wir diese Zeit schnell, es ist einfach die Länge der Strecke OP = OA. Da aber alle immer gleich viel Weg durch die Raumzeit zurücklegen, brauchen wir den roten Weg nur zu strecken und wir finden dann die von Schwarz gemessene dazugehörige Zeit OB.

Die Eigenzeit OQ, die auf der Uhr verstreicht, ist also unabhängig vom gewählten Weg, nicht aber der Quotient aus dieser Eigenzeit und der dafür in irgendeinem Inertialsystem gemessenen Zeit. Für den blauen Pfad OP ist der Quotient OQ/OA grösser als der entsprechende Quotient OQ/OB für den roten Pfad von O nach P. Für den blauen, geradlinigen Pfad ist der Quotient maximal, weil der Nenner dort minimal ist.
Der Name “Prinzip der maximalen Eigenzeit” ist hier ein bisschen irreführend; was tatsächlich maximiert wird ist der Quotient ∆τ / ∆t , wenn wir wie Epstein mit τ die Eigenzeit und mit t die Koordinatenzeit bezeichnen. ∆τ wird auf der Uhr abgelesen, die ihren Weg von O nach P macht und deren Gang dabei von der Gravitation und der Geschwindigkeit beeinflusst wird. ∆t ist die Zeitdauer, die für einen Beobachter im OFF dabei verstreicht. Sie sehen, dass wir jetzt die symmetrische Darstellung, die wir für die SRT bevorzugt habe, aufgeben müssen zugunsten eines Inertialbeobachters im OFF, der in der ART wirklich eine Sonderstellung hat. Für diesen Inertialbeobachter im OFF legen in einem bestimmten Zeitintervall alle gleich viel Weg durch die Raumzeit zurück. Das ist das Grundpostulat von Epstein für die ART. Die Länge dieses Wegstückes durch die Raumzeit ist die Koordinatenzeit ∆t, welche der Beobachter im OFF dafür misst.
Nun können wir das Prinzip der maximalen Eigenzeit formulieren::
Kann man sich kräftefrei von X nach Y durch die Raumzeit bewegen, so geschieht das entlang einer Bahn, bei welcher für den Quotienten ∆τ / ∆t ein Maximum resultiert, wenn ∆τ auf einer mitbewegten Uhr gemessen wird.
In der SRT sind solche Bahnen einfach gerade Strecken. Jeder andere Weg durch die Raumzeit ist länger und vergrössert damit den Nenner ∆t . Bevor wir nun in einem Beispiel untersuchen, wie sich die Situation in der ART verhält, möchte ich noch betonen, dass wir hier nicht fragen, welchen Weg das Licht von einem Ort A zu einem anderen Ort B durch den Raum nimmt, das machen wir später. Hier geht es um Falllinien durch die Raumzeit!
Nun also zum Beispiel:
Welches ist die kräftefreie Bahn (die Gravitation selber ist nun keine Kraft mehr, sie ist durch die Krümmung der Raumzeit ersetzt!), welche von einem Punkt A auf der Erdoberfläche 2 Sekunden später wieder zum gleichen Ort führt? Es ist ein vertikaler Wurf mit Anfangsgeschwindigkeit 10 m/s. Während der ersten Sekunde steigt das Objekt auf eine Höhe von 5m und wird dabei immer langsamer, in der zweiten Sekunde folgt ein freier Fall aus dieser Höhe zurück zum Anfangsort. Wir kennen die Bewegungsgleichungen und die Bahnkurve im Raum:
h(t) = v0·t – 0.5·g·t2 ≈ 10·t – 5·t2 und v(t) = v0 – g·t ≈ 10 – 10·t
Warum erfüllt gerade diese Bewegung das Prinzip der maximalen Eigenzeit, warum ist es nicht vorteilhafter, einfach am Ort zu verweilen oder aber auf eine Höhe von 20 Metern aufzusteigen? Betrachten wir zuerst das zugehörige Epstein-Diagramm:

Warum ist der blaue Weg vorteilhafter? Weil die Uhren weiter oben schneller laufen ! Warum geht man dann aber nicht noch weiter hinauf? Dann müsste man so schnell auf- und wieder absteigen, dass die Zeitdilatation infolge der hohen Geschwindigkeit den Vorteil der grösseren Höhe wieder auffressen würde. ART empfiehlt eine hohe Bahn, SRT empfiehlt möglichst kleine Geschwindigkeiten - und der optimale Kompromiss ist unser vertikaler Wurf! Diese Behauptung wollen wir noch rechnerisch beweisen:
Welchen Zeitzuwachs bringt der vertikale Wurf? Wir haben auf p.111 in G4 schon hergeleitet, wie der Zeitüberschuss vom Höhenunterschied abhängt:

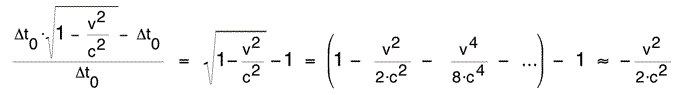
Das ist die dank dem Hopser zusätzlich verstrichene Eigenzeit in Sekunden. Wir müssen dem aber den Eigenzeitverlust infolge der Geschwindigkeit gegenüberstellen. Dabei gilt nach SRT

Wir kennen v(t) ≈ 10 – 10·t und können also wieder von 0 bis 2 über die Zeit t integrieren. Auch dieses Integral ist unproblematisch:

+100 / (3· c2) Sekunden positiv. In der Aufgabe 4 werden Sie angeleitet zu zeigen, dass der Zuwachs an Eigenzeit gerade auf dieser Parabel am grössten ist, bei noch höheren Bahnen wächst der Verlust infolge der SRT schneller als der Zuwachs dank der ART - und umgekehrt. Die Lösung von Galilei und Newton entspricht also genau derjenigen Parabel, welche dem Prinzip der maximalen Eigenzeit genügt!
